За все годы в бухгалтерии я сдала десятки деклараций по прибыли. И каждый раз это отдельный квест. База, авансы, льготы и вычеты — все это нужно внимательно рассчитать и правильно отразить в декларации. Расскажу, что изменилось в форме с 2026 года, как заполнить декларацию за 1‑й квартал и уложиться в сроки без штрафов.
Содержание
- Декларация по налогу на прибыль в 2026 году: что изменилось
- По какой форме сдавать декларацию по прибыли за 1-й квартал 2026 года
- Сроки сдачи декларации за 1-й квартал 2026 года
- Порядок заполнения декларации по налогу на прибыль за 1-й квартал
- Декларация по налогу на прибыль: частые вопросы
- Вам в помощь образцы, бланки для скачивания
Декларация по налогу на прибыль в 2026 году: что изменилось
Изменений по прибыли с 2026 года довольно много. И декларация КНД 1151006 — не исключение. С 2026 года, то есть еще с отчетности-2025, действует новый бланк отчета. В Приказ ФНС № ЕД-7-3/830@ от 02.10.2024 внесли изменения. Их налоговики утвердили другим Приказом № ЕД-7-3/855@ от 03.10.2025.
Итак, с 2026 года плательщики заполняют новый лист 05.1 по операциям с цифровой валютой. А в листе 08 теперь надо указывать уникальный номер контракта. На листах декларации поменяли штрих-коды. Кроме того, скорректировали формат подачи и порядок заполнения декларации. Вот новые правила:
- Если организация работает с цифровой валютой, а базу по операциям с ней определяют отдельно от общей, то в декларацию включают новый лист 05.1.
- В реквизите «Признак налогоплательщика (код)» приложения 4 к листу 02 надо указывать код «51», если приложение составляют в части убытков от операций с цифровой валютой, расчет по которым производят в листе 05.1. Как заполнять этот реквизит, смотрите в п. 20 приложения 6 к приказу № ЕД-7-3/830@.
- В поле «Уникальный номер контракта/кредитного договора» листа 08 надо указывать номер, который присвоил контракту банк. Есть важный нюанс: проверьте соответствие номера договору, сведения о котором отразили в реквизитах «Номер договора» и «Дата договора» по внешнеторговым сделкам.
По какой форме сдавать декларацию по прибыли за 1-й квартал 2026 года
Только по новой — из Приказа № ЕД-7-3/830@ в редакции от 03.10.2025. Старый бланк налоговики просто не примут. Заполните необходимые разделы, подпишите и отправьте отчет в нужный срок.
В чем отличие нового бланка от старого
В отчет по прибыли добавили новый лист 05.1. В нем отражают операции с цифровой валютой:
- доходы от реализации;
- внереализационные доходы;
- расходы на покупку/получение (кроме майнинга) и от реализации цифровой валюты;
- расходы на получение цифровалюты в результате майнинга;
- прибыль и убыток по операциям с цифровой валютой;
- облагаемая база по таким операциям.
В листе 02 скорректировали страницы со штрихкодами 00218054, 00218061 и исключили строки 130, 170, 171. А из приложения 4 к листу 02 убрали строки 135, 136, 151 и 161.
В лист 08 включили новое поле для отражения уникального номера контракта/кредитного договора. Кроме того, добавили строки 060–095 для учета доходов нерезидентов, которые приравнивают к дивидендам.
Эксперты КонсультантПлюс разобрали, как заполнить и сдать декларацию по прибыли при наличии обособленных подразделений. Используйте эти инструкции бесплатно.
Сроки сдачи декларации за 1-й квартал 2026 года
Сдавать декларацию по прибыли мы обязаны не только в конце года, но и за каждый отчетный период. Это прямое требование п. 1 ст. 289 НК РФ. Но есть нюанс: сроки «промежуточной» сдачи зависят от того, как мы платим авансы.
Годовой отчет надо отправить не позднее 25 марта следующего года. Например, за 2025-й отчитывались до 25.03.2026, а за 2026-й будем сдавать декларацию до 25.03.2027.
А вот со сроками за отчетные периоды у нас есть два варианта. Смотрите, какой ваш:
- Вы находитесь на квартальных авансах. То есть платите только один раз в квартал или квартал + ежемесячные взносы внутри него. Тогда отчетные периоды — это I квартал, полугодие и 9 месяцев. Сроки такие: за I квартал — до 25 апреля, за полугодие — до 25 июля, за 9 месяцев — до 25 октября включительно (п. 3 ст. 289 НК РФ).
- Вы платите ежемесячно от фактической прибыли. Здесь отчетный период — каждый месяц. Форму КНД 1151006 надо сдать до 25-го числа следующего месяца. К примеру, за март отчитываемся до 25 апреля, и так будет каждый месяц (п. 4 ст. 289 НК РФ).
Если «день Х» выпал на субботу, воскресенье или праздник, то сдачу декларации переносят на ближайший рабочий день. Это правило из п. 7 ст. 6.1 НК РФ работает независимо от вашего способа уплаты авансов.
А когда отчитываться налоговым агентам по прибыли? Если вы выплачивали кому-то доход, по которому обязаны удержать налог на прибыль (например, дивиденды иностранцу), то ваша отчетность привязана к факту выплаты. Отчитываться надо по итогам того отчетного периода, в котором и произошла такая выплата. Срок — не позднее 25 дней после его окончания (ст. 285, п. 1, 3, 4 ст. 289 НК РФ).
Чтобы определиться со способом отчетности, смотрим на численность сотрудников. По умолчанию декларацию по прибыли мы сдаем в электронном виде (п. 3 ст. 80 НК РФ). Но для малого бизнеса сделали исключение: те, у кого за прошлый год среднесписочная численность не превышает 100 человек, смогут отчитаться на бумаге. Новые организации с численностью до 100 человек включительно тоже смогут отчитаться на бумаге.
А вот если у вас есть обособленные подразделения, то ситуация меняется. Даже если в головном офисе находится 50 человек, но с учетом сотрудников всех ОП вы переваливаете за сотню, то добро пожаловать в электронный формат. Причем как для головной компании, так и для каждого подразделения. Численность самих подразделений роли не играет. Это подтверждают и чиновники — смотрите Письмо Минфина № 03-03-06/1/464 от 09.08.2011 и Письмо УФНС по г. Москве № 16-15/079004@ от 11.08.2011. У крупнейших налогоплательщиков тоже нет выбора: им доступен только электронный формат.
Обычные организации подают декларацию в свою ИФНС по месту нахождения (п. 1 ст. 289 НК РФ). Если есть обособленные подразделения, то надо подготовить отдельные прибыльные декларации: одну для головного офиса плюс по каждой ОП (или группе ОП) по месту их учета. Крупнейшие налогоплательщики отчитываются только в ту инспекцию, где их поставили на учет как крупнейшего.
Надо знать: ответственность за несдачу налоговой декларации
Порядок заполнения декларации по налогу на прибыль за 1-й квартал
Если вы платите один раз в квартал или квартал + ежемесячно внутри квартала, то тогда отчитываетесь ежеквартально: за 1-й квартал, полугодие, 9 месяцев. В декларацию за эти периоды всегда включайте:
- титульный лист;
- подраздел 1.1 раздела 1;
- лист 02;
- приложения № 1 и 2 к листу 02.
А вот подраздел 1.2 раздела 1 нужен только тем, кто внутри квартала платит еще и ежемесячные авансы. Остальные листы (07, 08, 09) в «промежуточные» декларации не включайте. Они нужны только для годовой декларации или особых случаев.
Если вы платите каждый месяц по фактической прибыли, то тогда и декларацию сдавайте ежемесячно. Состав зависит от отчетного периода:
- за 3, 6, 9 месяцев и год — титульный лист, подраздел 1.1, лист 02, приложения № 1 и 2;
- за 1, 2, 4, 5, 7, 8, 10, 11 месяцы — титульный лист, подраздел 1.1, лист 02. Добавьте в отчет подраздел 1.3 (если есть дивиденды или проценты), приложение № 4 (если отчитываетесь за первый период) и, при необходимости, приложение № 5, листы 03–05.
Титульный лист
Заполните по порядку:
- Ваш ИНН и КПП.
- Номер корректировки: «0--» для первички, «1--» и далее для уточненки.
- Код налогового органа: 4 цифры вашей ИФНС.
- Код места нахождения. Смотрим приложение № 1 к порядку и указываем: 214 для обычной российской организации, 220 для обособленного подразделения, 231 для налоговых агентов.
- Код периода: в 1-м квартале пишем «21». Если платите авансы по факту, то указываете нужную цифру в диапазоне от 35 (за январь) до 46 (за год). А если проводите ликвидацию или реорганизацию, то проставьте код «50».
В конце титульника укажите ответственного за сдачу отчета — ФИО директора организации или его представителя. Еще нужны подпись и дата заполнения отчета. И не забудьте проставить реквизиты доверенности, если поручили отчитаться представителю.

Заполняем титульный лист
Раздел 1
Состоит из трех подразделов:
- Подраздел 1.1 — для всех. Здесь показывают, сколько налога на прибыль надо доплатить или уменьшить по итогам отчетного периода. Суммы для федерального бюджета берете из строк 270 (к доплате) или 280 (к уменьшению) листа 02. Для регионального — из строк 271/281.
- Подраздел 1.2 — только для тех, кто платит и квартальные, и ежемесячные авансы. Заполняйте в декларациях за 1-й квартал, полугодие и 9 месяцев. В годовую его не включайте. Здесь отражают размер ежемесячных авансов на следующий квартал. Берете 1/3 от строки 300 (федеральный бюджет) и 310 (региональный бюджет) листа 02. Если показатель не делится на 3, то остаток добавляете к последнему платежу (строка 140 или 240). А если авансы на 4-й квартал текущего года и на 1-й квартал следующего разные (к примеру, вы закрыли ОП), то в декларацию за 9 месяцев вставляете два подраздела 1.2 — с кодами 24 и 21.
- Подраздел 1.3 — только для налоговых агентов и тех, кто платит налог с дивидендов, процентов по ценным бумагам, прибыли КИК. По каждому виду дохода надо заполнить отдельный блок. В строках 040–060 расписываете платежи по срокам. Если отчетный период — месяц, то поставьте всю сумму в строку 040, а в строках 050 и 060 укажите нули.
Не забудьте правильно поставить ОКТМО в подразделах первого раздела. Укажите код той территории, куда уходит налог. По головной организации это место ее нахождения. По обособленному подразделению — место этого ОП. А если подаете декларацию за закрытое подразделение или реорганизованную компанию — код того места, где они стояли на учете.

Заполняем подраздел 1.1
Лист 02
Его заполняют почти все. Не включают в декларацию по обособленному подразделению, в отчетность по прибыли КИК. Кроме того, не заполняйте лист 02, если вы налоговый агент, но при этом не налогоплательщик по прибыли.
Сначала в листе 02 надо указать код признака налогоплательщика: если работаете по обычной ставке 25 %, то укажите «01». Для льготников есть свои коды из перечня формы.
Как определить налоговую базу:
- Доходы: строка 010 (от реализации) + строка 020 (внереализационные). Берете показатели из приложения № 1.
- Расходы: строка 030 (от реализации) + строка 040 (внереализационные). Берете показатели из приложения № 2.
- Прибыль (убыток) в строке 060: (010 + 020) — (030 + 040).
Из прибыли вычитаете доходы, которые не облагаются налогом (строка 070). К примеру, дивиденды от российских организаций. Получаете налоговую базу в строке 100. Затем вычитаете убытки прошлых лет (строка 110). Итог впишите в строку 120. Если получилась отрицательная сумма, то укажите 0.
Как рассчитать налог на прибыль:
Для начала укажите ставки: в строке 150 для федерального бюджета, в строке 160 — для регионального.
Исчисленный налог за период:
- строка 190 = база (120) × федеральная ставка / 100;
- строка 200 = база × региональная ставка / 100;
- строка 180 = строка 190 + строка 200.
Ранее начисленные авансы отражаются так:
- Для 1-го квартала. Переносите строки 320–340 из декларации за 9 месяцев прошлого года.
- Для полугодия, 9 месяцев, года. Берете строки 180–200 из предыдущей декларации текущего года и плюсуете строки 290–310 из нее же.
- Если платите авансы по факту. За январь поставьте прочерк, за остальные месяцы перенесите строки 180–200 из декларации прошлого месяца.
Теперь надо посчитать прибыль к доплате или уменьшению.
К доплате в федеральный бюджет (270) = строка 180 — строка 210 — строка 240 (налог за границей) — строка 267 (торговый сбор) — строка 268 (инвестиционный вычет). Если результат отрицательный, то поставьте в строке 270 прочерк, а положительный результат переносите в строку 280, где показывают налог к уменьшению.
К доплате в региональный бюджет (строка 271) = строка 200 — строка 230 — строка 250 — строка 267 — строка 269. По аналогии, если получился отрицательный результат, в строке 271 поставьте прочерк, а сумму к уменьшению отразите в строке 281.
В строках 290–340 покажите ежемесячные авансы на квартал, следующий за отчетным. Заполните их, только если платите и квартальные, и ежемесячные авансы. Вот как рассчитать и заполнить:
- Для 1-го квартала: строки 290–310 равны строкам 180–200. То есть авансы на 2-й квартал равны налогу за 1-й квартал.
- Для полугодия: строка 290 = (180 за полугодие — 180 за 1-й квартал). Аналогично считаются строки 300 и 310. Если разница меньше или равна нулю, то ставьте прочерк.
Строки 320–340 — это авансы на 1-й квартал следующего года. Заполняйте их только в декларации за 9 месяцев. Обычно они равны строкам 290–310, то есть авансам на 4-й квартал текущего года. Но если, к примеру, закрываете обособленное подразделение, то показатели могут отличаться.



Заполняем лист 02
Может пригодиться:
Приложения № 1 и 2 к листу 02
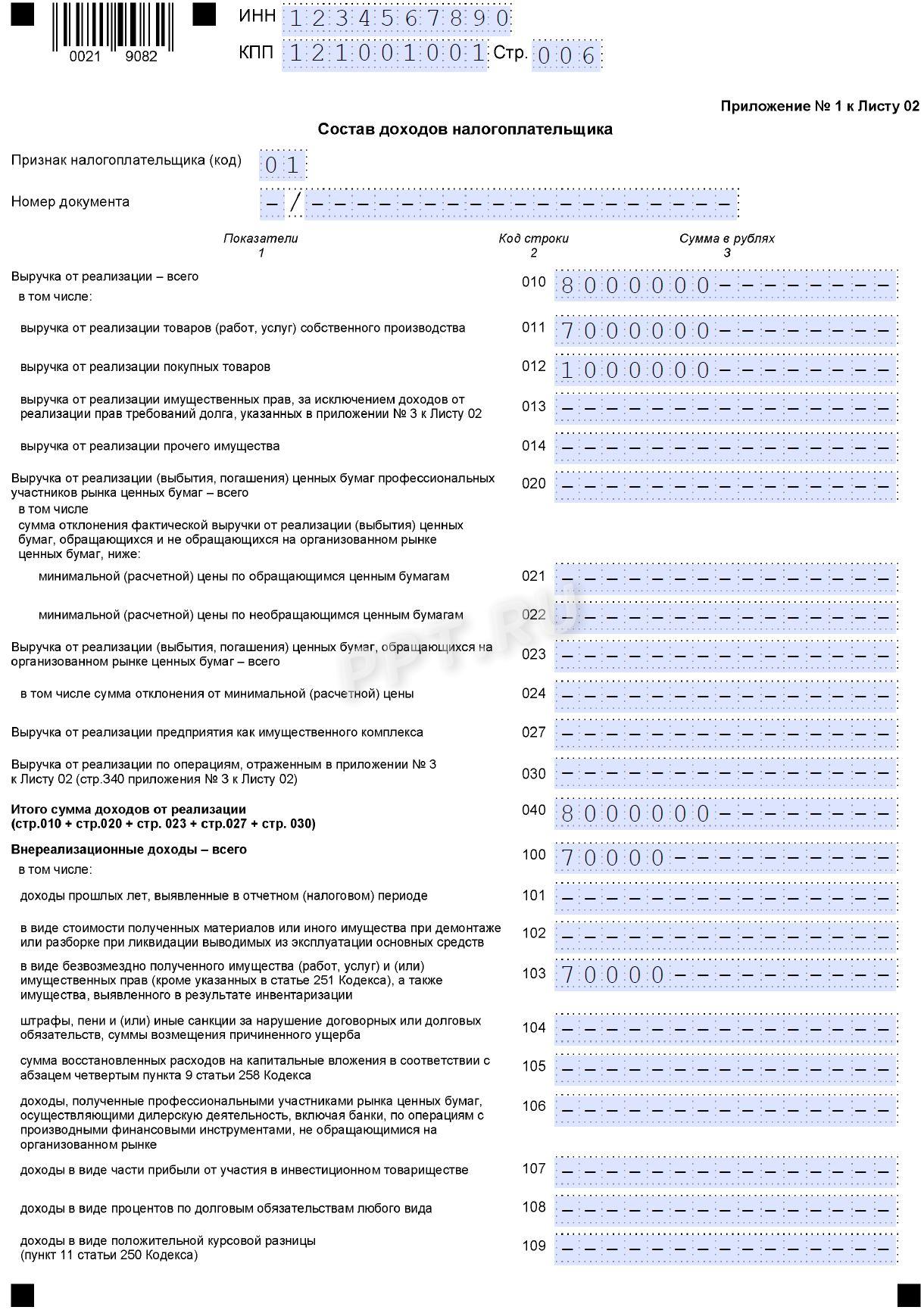
В приложении № 1 отражаются доходы организации. Выручка от реализации (строка 010) расшифровывается по видам:
- собственные товары (стр. 011);
- покупные товары (стр. 012);
- имущественные права (стр. 013);
- прочее имущество (стр. 014);
- ценные бумаги (если вы не профучастник рынка ЦБ, стр. 023).
Итог по реализационным доходам подводят в строке 040.
Внереализационные доходы (строка 100) — это проценты, штрафы, безвозмездно полученные активы, курсовые разницы и пр. Их детализируют по строкам 101–109.

Заполняем приложение № 1 к листу 02
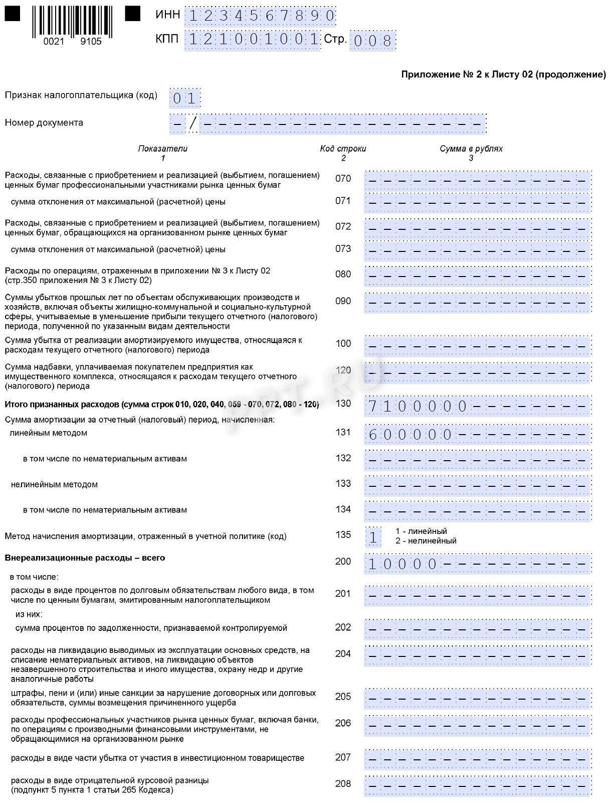
В приложении № 2 отражаются расходы организации:
- Прямые расходы (строка 010) — если вы производственник на методе начисления.
- Косвенные расходы (строка 040) — все остальные затраты, включая налоги, взносы, амортизацию. Для амортизации отдельно укажите метод в строке 135: 1 — линейный, 2 — нелинейный.
- Внереализационные расходы (строка 200) — проценты по долгам, ликвидация ОС, штрафы, отрицательные курсовые разницы.
- Убытки, приравненные к внереализационным расходам (строка 300), — к примеру, безнадежные долги (сверх резерва) или убытки прошлых лет, выявленные в текущем периоде.
- Корректировка базы из-за ошибок прошлых лет (строки 400–403) — заполните, если нашли ошибку, которая привела к переплате, и исправляете ее текущим периодом. Но не забывайте соблюдать трехлетний срок.



Заполняем приложение № 2 к листу 02
Приложение № 3 к листу 02
В этом приложении приводят нестандартные операции по прибыли. Включите приложение № 3, если в отчетном периоде занимались:
- продажей амортизируемого имущества;
- уступкой права требования долга до срока, при условии что вы — первоначальный кредитор;
- деятельностью объектов обслуживающих производств и хозяйств (ОПХ);
- доверительным управлением имуществом;
- продажей прав на земельные участки, купленные у государства в 2007–2011 гг.
Итоговые суммы из приложения № 3 перенесите в строку 030 приложения № 1 (выручка), в строку 080 приложения № 2 (расходы) и в строку 050 листа 02 (убытки, учитываемые в особом порядке).
Приложение № 4 к листу 02
Здесь отражают убытки прошлых лет. Приложение № 4 включается только в декларации за 1-й квартал и за год. В отчеты за полугодие и 9 месяцев его не добавляют.
Вот как заполнить приложение № 4:
- Строка 010 — остаток неперенесенного убытка на начало года.
- Строки 040–130 — расшифровка по годам.
- Строка 140 — налоговая база текущего периода. Перенесите ее из строки 100 листа 02.
- Строка 150 — сумма убытка, который вы переносите в текущем периоде. По правилам он не превышает половины строки 140. Эта сумма попадает в строку 110 листа 02.
- Строка 160 — остаток неперенесенного убытка на конец года. Заполняется только в годовой декларации.
Подробнее: как отразить убытки в декларации по налогу на прибыль
Приложение № 5 к листу 02
Здесь отражают сведения по обособленным подразделениям. Заполните отдельные приложения № 5:
- по головной организации без учета ОП;
- по каждому ОП или группе ОП в одном регионе.
Укажите в приложении № 5:
- Долю прибыли (строка 040). Рассчитывается по правилам ст. 288 НК РФ, обычно по среднесписочной численности и остаточной стоимости ОС.
- Налоговую базу подразделения (строка 050). Она равна базе по организации в целом (строка 030 / 031) × доля прибыли.
- Налог в региональный бюджет (строка 070). Рассчитывается так: налоговая база подразделения × региональная ставка (строка 060).
- Авансы на следующий квартал (строка 120). Считайте их по формуле: строка 310 листа 02 × доля прибыли / 100.
- К доплате или уменьшению (строки 100 или 110). Рассчитываются по аналогии с такими же показателями из листа 02, но с учетом ранее начисленного налога за границей, торгового сбора и инвествычета.
Сумма строк 070 всех приложений № 5 должна совпадать со строкой 200 листа 02.
Лист 03
Этот лист предназначен для налоговых агентов. Заполните, если платили дивиденды или проценты по государственным/муниципальным ценным бумагам. Лист 03 состоит из трех разделов:
- А — расчет налога с дивидендов;
- Б — расчет налога с процентов по ценным бумагам;
- В — по каждому получателю дохода надо указать ФИО, ИНН, сумма выплат, прибыльный налог.
Налог из листа 03 попадает в подраздел 1.3 раздела 1.
Лист 04
Здесь отражаются доходы по спецставкам. К примеру, дивиденды от иностранных компаний, проценты по отдельным видам облигаций. По каждому коду дохода заполните отдельный лист 04.
Если применяете ставку 0 % (к примеру, по долгосрочным дивидендам от российских организаций), то заполните только код и налоговую базу. В остальных случаях рассчитайте налог на прибыль по формуле:
Лист 05
Это лист для операций с необращающимися ценными бумагами, производными финансовыми инструментами и цифровыми финансовыми активами. Обязательно укажите код операции:
- 1 — необращающиеся ценные бумаги и ПФИ;
- 2 — госбумаги, полученные в результате новации;
- 3 — необращающиеся ПФИ, заключенные после 01.07.2009 с датой завершения после 01.01.2010.
Финансовый результат (прибыль/убыток) — это разница между доходами и расходами. Положительная налоговая база (строка 100) суммируется с общей базой в листе 02.
Лист 05.1
Это новый лист для операций с цифровой валютой (криптовалютой), включая майнинг. Здесь учитывают доходы от реализации цифровой валюты, внереализационные доходы, расходы на приобретение и майнинг. Налоговая база = прибыль за период минус убытки прошлых лет. Положительный результат включается в строку 100 листа 02.
Лист 06
Этот лист предназначен только для негосударственных пенсионных фондов. В нем отражают доходы и расходы от размещения пенсионных резервов. Налоговая база из строки 530 этого листа учитывается в строке 100 листа 02.
Лист 07
Если получали целевое финансирование, благотворительные взносы и аналогичные средства, то включите лист 07 в годовую декларацию по прибыли. По каждому коду целевых средств (найдете их в приложении № 2 к порядку) укажите:
- дату поступления и срок использования;
- сумму полученных средств;
- сумму использованных по назначению;
- остаток с неистекшим сроком;
- средства, использованные не по назначению или не использованные в срок.
Лист 08
Здесь проводят корректировки по контролируемым сделкам. Заполните этот лист, если по сделке (группе однородных сделок) провели корректировку в соответствии с разделом V.1 НК РФ. По каждой сделке надо заполнить отдельный лист 08. Положительные или отрицательные корректировки учитываются в строке 100 листа 02. Включается только в годовую декларацию.
Дополнительные приложения к декларации
Приложение № 1 — это расшифровка:
- доходов, не учитываемых для налогообложения (к примеру, списанная недоимка);
- расходов, учитываемых особыми категориями налогоплательщиков (к примеру, амортизация с повышающими коэффициентами, расходы на обучение, недостачи и пр.).
Заполните приложение № 1 к декларации по прибыли, если есть такие коды.
Приложение № 2 предназначено для участников соглашений о защите и поощрении капиталовложений (СЗПК). Заполните приложение отдельно по каждому соглашению. В разделе А покажите доходы и расходы в целом по СЗПК и налоговую базу. Если соглашение реализуется в нескольких регионах, то надо раздел А и еще по региону раздел Б. В нем надо показать долю базы, которая приходится на этот регион. Показатели строк 180–200 из этого приложения не суммируются с листом 02 и не попадают в раздел 1. Здесь вы просто декларируете льготы.
Декларация по налогу на прибыль: частые вопросы
-
Какой бланк декларации по прибыли использовать для отчета за I квартал 2026 года?
Только новый. Старый бланк налоговики не примут. В 2026 году действует форма из Приказа ФНС № ЕД‑7‑3/830@ в редакции от 03.10.2025.
-
Когда сдавать декларацию за I квартал 2026 года, чтобы не получить штраф?
Не позднее 27 апреля 2026 года. Поскольку предельный срок 25 апреля выпадает на субботу, то он переносится на ближайший рабочий день — понедельник 27 апреля. Для тех, кто платит авансы от фактической прибыли, срок отчетности за март 2026-го — точно такой же.
-
Можно ли сдать декларацию по прибыли на бумаге, а не в электронном виде?
Да, если среднесписочная численность за прошлый год не превышает 100 человек. Новые организации с такой же численностью тоже смогут отчитаться на бумаге. Но если у вас есть обособленные подразделения и вместе с ними численность превышает 100 человек, то придется отчитываться электронно, даже если в головной организации будет всего 50 человек.
-
Что поменялось в декларации по прибыли с 2026 года?
Появился лист 05.1 для отчета по операциям с цифровой валютой. В листе 08 добавили поле для уникального номера контракта, а из листа 02 и приложения 4 убрали несколько строк. Плюс поменяли штрих-коды на всех листах.
-
Надо ли заполнять лист 05.1, если не работаешь с цифровой валютой?
Нет, не надо. Лист 05.1 включают в декларацию только те, кто проводит операции с цифровой валютой и определяет по ним налоговую базу отдельно от общей. Если не проводите такие операции, то не добавляйте лист 05.1 в отчет.
Важно
Увеличение годового лимита сверхурочной работы: закон принят