Хитрости в тендерах:
- поиск закупок с низкой конкуренцией;
- анализ конкурентов;
- «прямые» контракты.
Навигация

Коротко о главном: 5 пунктов
- Если выбрать необычный товар для госзакупки, конкурентов почти не будет.
- Нишу с редкими или сложными вещами легче занять, чем обычную.
- Анализ прошлых заказов помогает понять, кто и с какими ценами уже выигрывал тендеры.
- В некоторых случаях можно заключить контракт напрямую, без торгов, если сумма до определённого лимита.
- Часто такие сделки проходят на специальных сайтах, где победителем становится тот, кто поставит самую низкую цену.
Будем откровенны: каждый поставщик хочет заработать больше денег и найти наименьшую конкуренцию в госзаказе. Сегодня делимся секретами, которые помогут сделать участие в госзакупках выгоднее.
Поиск товаров с низкой конкуренцией
За прошлый год заказчиками опубликовано более 9,6 миллионов извещений о закупке самых различных товаров. Естественно, в контрактной системе преобладают заказы на поставку товаров, выполнение работ или оказание услуг первой необходимости. Например, ремонтные работы, поставка канцелярских товаров и обслуживание офисной техники. В таких тендерах участвуют большое количество предпринимателей, которые специализируются на этом. У госзаказчиков есть и другие потребности, которые выбиваются из привычной логики. Например, в г. Рубцовск в ноябре 2020 года разместили электронный аукцион на поставку гироскутеров, сигвеев и электрических роликовых коньков.
И вполне логично, что товар реализовали по максимальной цене, т. к. другие предприниматели даже и мысли не допускали о том, что их электроскутеры понадобятся администрации.

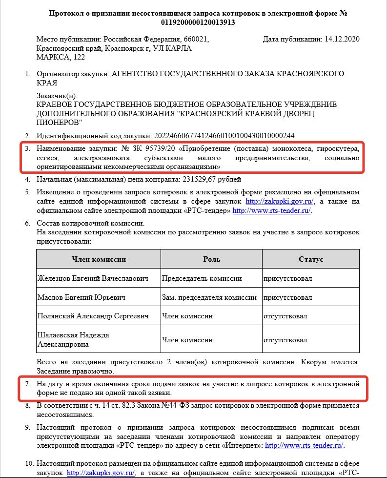
Еще пример: поставка моноколеса, гироскутера, сегвея, электросамоката в декабре прошлого года в Красноярский краевой дворец пионеров. В этой закупке не было претендентов от слова совсем.

Вот какие мы выделим ниши в госзакупках, где нет конкуренции, в 2022 году:
- Недвижимость. Подробнее: как продать недвижимость.
- Технологически сложные и инновационные товары.
- Товары с эксклюзивным товарным знаком. Подробнее: «Готовый бизнес и франшиза: стоит ли покупать для госзакупок».
- Тендеры, для участия в которых необходимо иметь лицензии, допуски или другие специальные разрешения.
- Редкие и неочевидные товары, работы, услуги.
Таким образом, ориентируйтесь на тендеры, которые другие предприниматели даже не будут искать или не смогут поучаствовать. Даже в 2022 году госзакупки, которые забирают по максимальной цене, остаются.
На Youtube-канале выложили фишки по поиску товаров для тендера, которые работают и в 2022 году. Эти инструкции особенно полезны для поиска сложных и редких товаров.
Анализ конкурентов
В Единой информационной системе (ЕИС), помимо сведений обо всех заказах, есть информация о победителях и ценах, которые они предложили в прошлом. На основании этих данных легко посчитать среднее снижение в определенной сфере и предугадать состав конкурентов. Подводите общую статистику в сегменте, делайте анализ конкурентов закупки в определенном субъекте Федерации или городе.
Например, если реализуете мебель, находите тендер, в котором хотите поучаствовать в настоящее время.

После этого анализируйте завершенные закупки у этого заказчика в выбранной сфере. Для этого кликаем на заказчика.

Открываем регистрационные данные заказчика, и справа есть ссылка на все закупки и контракты, которые он проводил и заключал.

Кликаем на «Закупки» и в строку поиска пишем ключевое слово, чтобы найти аналогичные тендеры в прошлом.

Переходим в информации о закупке во вкладку «Результаты определения поставщика».

Анализ показывает, что в апреле 2020 года Девятнадцатый арбитражный апелляционный суд заказывал кресла. Победителем стало ООО «Мебельофис», которое снизило цену с 78 775,20 рублей до 69 656,12 рублей, т. е. на 11% от НМЦК.
Эти данные, с одной стороны, помогают отфильтровать экономически непривлекательные закупки, а с другой стороны, заложить максимально комфортную маржинальность и предложить цену ниже ваших конкурентов.
«Прямые» контракты
До сих пор остаются поставщики, которые не знают, что есть непубличные торги, т. е. в ЕИС информации о них нет. Речь идет о так называемых «прямых» контрактах у единственного поставщика до 600 000 рублей каждый в рамках п. 4, 5 ч. 1 ст. 93 Закона о контрактной системе. Поставщику важно учесть, что при заключении такого контракта он сам назначает цену, и никаких торгов не происходит. Соответственно, он, как правило, зарабатывает больше, чем участвуя в публичных закупках. Суммы таких госконтрактов строго ограничены и лимитированы. В противном случае принцип обеспечения конкуренции потерял бы смысл в контрактной системе.
В последнее время такие контракты стали разыгрывать на специализированных электронных магазинах, и единственного поставщика выбирают не назначением, а по результатам короткой котировочной сессии. Единственным поставщиком становится тот, кто предложил цену ниже конкурентов. Самыми известными платформами, где проводятся такие торги, стали единый агрегатор торговли «Березка» и Портал поставщиков.
Подробнее:
С 01.04.2021 вступают в силу изменения, которые позволяют выбирать единственного поставщика на электронных площадках. Максимальная сумма одного такого контракта — 3 млн рублей.
Важно
Росстат обновил формы отчётности по численности и зарплате
